

全国免费客服电话 135-2433-6395 邮箱:info@monotion.com
手机:135-2433-6395
电话:+86-21-61180596
地址:上海闵行区万芳路333号1号楼7层A座
发布时间:2025-11-06 09:23:20 人气:
Elmo埃莫Composer软件调试指南和使用说明
1. Composer 软件的作用
1.1 composer可以工作于Elmo的数字伺服驱动器控制的任何有刷和无刷伺服电机,用于单轴伺服驱动器的初始调整。
1.2 The Smart Terminal 智能终端用于手动操作伺服驱动器
1.3 Elmo Studio 运动监视器控制驱动器记录功能以显示当前驱动器状态。运动监视器可以记录和显示几乎任何系统值
1.4 Application Editor 应用程序编辑器,它可以查看打开的应用程序的所有参数。
1.5 Table Editor 表编辑器,用于编辑PVT和PT表,之后可以下载到连接的驱动器上。
1.6 Sync Manage 同步管理器,同步通过CANopen网络连接的所有驱动器的内部时钟。
1.7 Scope 显示所记录的参数,并提供了广泛的数学函数操作记录曲线。从范围的数据可以导出到其他程序如微软Excel和MATLAB。
1.8 networking option 网络选项提供了与多个伺服驱动器的直接通信,使用不同的Com端口,可以使用Composer软件通过RS232和多达8个伺服驱动器通信;此外还可以通过CAN通信连接多达127个驱动器,每个驱动器有独特的ID号,composer支持CANopen协议,网络配置好后,可以保存其配置,并且在一次单击中可还原网络。
1.9 为优化系统配置,设置和输入的每一个数据项必须正确,在向电机通电前,驱动器会检查数据库的一致性,如果发现不一致,则拒绝数据,一旦电机启动,则将阻止接受影响参数完整性的数据库。
2. Composer 软件安装环境
2.1 Microsoft Windows 95/98/2000/XP;
2.2 At least 32 MB RAM;
2.3 300 MB of hard drive space ;
2.4 CD-ROM drive Pentium II processor or equivalent (minimum);
2.5 RS-232 port ;
2.6 CANopen board for CANopen serial communication (optional)。
3. Composer软件可以进行以下设置:
3.1 Motor parameters 电机参数
3.2 Commutation method and parameters 换相的方法和参数
3.3 Current loop tuning 电流环调节
3.4 Commutation tuning 换相调节
3.5 Velocity loop tuning 速度环调节
3.6 Position or dual loop tuning 位置环双环调节
4. 软件打开调整前的准备工作
4.1 若使用CANopen网络,需要确保CAN board已正确安装。
4.2 电机的静摩擦力应低于全扭矩的20%,可以输入全电流的20%,检查电机能否移动。
4.3 系统平衡时,电流输入为0时,速度也为0。
4.4 机械系统不应该有5HZ以下的共振现象。
4.5 电机轴能够在几个电极之间正反自由移动
4.6 编码器的精度不能低于数百脉冲信号
5. Creating a New Application
5.1 打开软件,点击Creating a New Application,创建一个新的应用程序需要给它一个独特的名称,通信网络的设置用来指定相关的电机和驱动器的参数。

5.2 键入一个新的名称,明确应用的内容,对于可以使用的通讯属性,单击“下一步”激活连接并开始指定电机参数,如果要更改所选通讯类型的任何参数,请单击“属性”。

5.3 选择RS232通讯属性参数,使用COM端口,使用默认设置,如果通讯错误,可增加波特率。

5.4 选择CAN通讯属性参数,电脑 CAN control board and firmware installed 成功,可以选择此通讯类型,以下为此通讯类型的参数设定:

1. 在“CAN”对话框的“节点ID(Node ID)文本”框中,输入驱动器节点的唯一编号。允许的节点数范围从1到127。
2. 从波特率下拉列表中,选择用于网络所有节点的波特率。
3. 点击板选项卡显示可以–板属性对话框,如下:

4. 从Manufacturer下拉列表中,选择其生产制造商
5. 从Board Type中选择安装在工控机中CAN board的型号名称
6. 在 CAN Number定义on-board controller (0 or 1) defined in the board setup process,此出显示仅供参考。
7. 单击Connect,激活CAN网络连接,这个过程可能需要一点时间,并且Composer会显示一个状态栏来指示连接进度
5.5 Specifying the Motor Parameters 指定电机参数
5.5.1 在通信类型选择和建立连接后,下一步是设置电机参数。在“系统数据库”对话框中执行此操作,在应用程序名称和“通讯类型”对话框中单击“下一步”时显示该对话框:

a. 检查在 ELMO Driver version 的文本框中显示(从控制器读取)的Elmo伺服驱动器名称,确认为正在连接的伺服驱动器。
b. 此对话框列出存储在驱动器数据库中的 Motor Manufacturer Name an和Motor P/N
c. 如果这些列表中包括使用的电机,从Manufacturer Name和 Motor P/N列表选择适当的名称,并且电机的参数将显示在 Motor Parameters中的列表和文本框中
d. 如果这些列表中不包括您的电机,单击New按钮,并在Motor Manufacturer Name和 Motor P/N文本框中输入适当的信息。然后,输入下列电机参数:
e. Motor Type:特定类型的伺服驱动器, 选择Linear Brushless(线性无刷), Rotating Brushless (旋转无刷)和 Rotating Brush(旋转有刷).
f. Continuous Stall Current:允许的最大连续电流,安培数(A)。
g. Maximum Mechanical Speed:旋转电机(RPM)、直线电机(m/s)的最大运动速度
h. 当输入Continuous Stall Current和Continuous Stall Current参数时,要确保这两个值与 motor manufacturer’s data(电机生产商的电机参数)中列出的完全一样。
i. 完成数据库的新建后,单击“ Add”。

5.5.2 要更改电机参数,请选择电机并单击 Edit。可以在Composer使用这些已更改的值进行测试。如果要保存新值,可以更改 Motor P/N文本框中的名称,然后单击“ Add”。
5.5.3 若要删除已输入的 manufacturer name或 part number,请选择名称,然后单击 Remove manufacturer 或者Remove motor,但是只有输入数据库中的电机才能被移除。
5.5.4 单击“Next”继续设定电机。将显示“反馈参数”对话框, Current Main Commutation Feedback下拉列表中,选择主编码器反馈类型,根据系统数据库对话框中定义的电机类型,系统将显示与定义换相反馈相关的文本框。
5.5.5 对于选择的旋转电机(rotary motor),将显示如下类似的对话框:

5.5.6 对于选择的线性电机(linear motor),将显示如下类似的对话框:

5.5.7 以下是各种选项的介绍:

a. 输入编码器的参数值。
b. 单击“下一步”完成电机定义并继续安装的下一阶段。
5.6 User Interface for Absolute Feedback 绝对式编码器反馈用户界面
1. 旋转电机— Heidenhain and Stegmann

a. 编码器的分辨率,是指编码器可读取并输出的最小角度变化,对应的参数有:每转刻线数(line)、每转脉冲数(PPR)、最小步距(Step)、位(Bit)
b. 在以通讯数据输出型的编码器或绝对值编码器,其输出的分辨率是以多少“位”来表达,即2的幂次方的圆周分割度。
c. Serial Interface:下拉列表有以下选项, Hiperface or EnDat2.1格式
d. Absolute Single Turn Position Resolution:
旋转单圈绝对式编码器分辨率,单圈绝对式编码器17位以下,如“8”“10”“12”“13”“16”“bit”
e. Absolute Multi-Turn Position Resolution:旋转多圈绝对式编码器分辨率,多圈绝对式编码器1212,1213,(或24bit,25bit,XXX425)
f. Sine/Cosine Periods per Revolution:表示每圈的正弦/余弦信号周期的数量。绝对位置后由simpliq驱动决定(通常是上电后),从 sine/cosine signals(正弦/余弦信号)和““Multiplication Factor(倍增因子)”来计算位置。
g. 单圈+多圈 ≤32bit,单圈 ≤32bit,多圈 ≤16bit
2. 通过点击“NEXT”按钮,“反馈参数II”窗口将出现。Composer更新驱动器与相关的反馈参数。

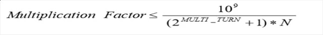
a. Multiplication Factor(倍增因子)表示在bit位中,在一圈中模拟(正弦\余弦)信号的位置计数。
b. Multiplication Factor(倍增因子)限制:
c. 对于旋转电机:

N:Number of sine/cosine signals per mechanical resolution
d. 对于直线电机

N: Period of a single analog sine\cosine. Typically in mm/inches
L: Length of the linear sensor(线性编码器). Typically in meters/legs
Both N and L must be the same (distance) units.
e. Total counts per revolution分辨率总计数:显示最终的用户分辨率
f. Change…低通滤波,默认为未配置、没有值,使用时一般值在400-700kz
2. Linear Motors

2.1 For Heidenhain feedback

a. Serial Interface:下拉列表有以下选项, Hiperface or EnDat2.1格式
b. Magnetic Pitch:磁性间距编辑框,表示一个电气循环的距离mm,该值取自电机的数据表。
c. Measurement Length (Hiperface) or Measuring Length (EnDat):测量长度或长度测量值,编辑框里代表毫米线性编码器sensor的长度。该值取自编码器sensor的数据表。
d. Absolute Position Resolution (Hiperface) or Measuring step (EnDat):编辑框里代表两个连续的绝对位置读数之间的距离。该值是从传感器的数据表中提取或计算的。
e. Periodic length (Hiperface) or Grating (Signal) Period (EnDat):编辑框代表一个模拟信号周期的距离。该值取自传感器的数据表。
2.2 通过点击“NEXT”按钮,“反馈参数II”窗口将出现。Composer更新驱动器与相关的反馈参数。
2.3 Position Counts per Meter:表示每米的位置计数的数量编辑框。整数类型
5.7 Defining System Limits 定义系统限制
在定义电机和反馈参数之后(单击“Commutation Feedback Parameters dialog”中的“Next”),将显示系统定义和限制对话框,以使能够定义系统在达到操作限制时应如何操作。需要指定每个值,这些参数不是由系统自动定义的。要确保参数正确定义,因为错误设置的值可能会影响系统安全。

1. 在驱动器参数块,输入以下值:
a. Application Continuous Current:最大电流安培数,用于连接电机。此值必须等于或小于【电机允许的连续最大电流和 Driver Continuous Current文本框显示的值。】
b. Application Peak Current:最大短时电流安培数,可以应用的应用。向导自动显示由制造商定义的 Driver Peak Current(驱动峰值电流)。Application Peak Current值必须等于或小于此值。
2. 在机械限制块,输入以下值:
a. Speed:将在程序中使用的最大电机速度。此参数必须等于或低于系统数据库对话框中的电机定义的Maximum Mechanical Speed(最大机械速度值)。
b. Stop Deceleration (SD):负载减速最大速率。
c. Low Reference for Position and High Reference for Position:用于在全运动范围内定义绝对位置命令限制。
d. 输入高于1073741822的数字表示没有机械限制。
3. 单击“ Next”,显示 Logic Input对话框。

a. 此对话框定义当各种输入信号被激活时应发生的操作。
b. 从“ Select Function Behaviors and Logic Level”列表中,选择相关功能选项和激活它们的逻辑级别。下表解释了每个开关可用的选项:

4. 单击“ Next”继续“Logic Output”对话框。

输出对话框,重复输出信号的选择过程,如下表所示:

5. 单击“ Next”继续调整步骤,将显示 Custom自定义对话框

a. 如果这是第一次配置,Composer向导会自动选择所需的步骤,完全调整已经定义的驱动器和电机。在系统数据库”对话框如果选择了一个旋转有刷电机类型,步骤1和步骤2将自动被取消。步骤4和5是互斥的;可以选择一个或另一个,或者选择完全跳过它们。
b. 点击命令按钮切换Skip跳过。(选项变成蓝色)。
c. 如果尚未执行commutation tuning,或者在“ Commutation Feedback Parameters”对话框中更改了任何参数,则必须执行此步骤;不能跳过该步骤。
d. 可以在进程中的任何步骤停止,向导将保存驱动器内存中的所有参数。
e. 以下各节依次描述each tuning step in turn(每个调节步骤)。
驱动器维修
产品知识