

全国免费客服电话 135-2433-6395 邮箱:info@monotion.com
手机:135-2433-6395
电话:+86-21-61180596
地址:上海闵行区万芳路333号1号楼7层A座
发布时间:2025-12-12 11:07:21 人气:
伺服电机选型的要依据所驱动机构的特性,如输出轴负载转动惯量、机构配置方式、效率和摩擦力矩等。若缺少这些特性数据,又无参考案例,就难以进行伺服电机选型。此时,需先算出负载惯量和期望旋转加速度,据此推算加速转矩或减速转矩;再结合机构电机安装形式与摩擦力矩,确定匀速运动时的负载转矩;同时,计算停止运动时的保持转矩,像垂直运动对抗重力的转矩。最后,根据这些转矩需求选择合适伺服电机。
每种伺服电机的规格参数包含额定转矩、最大转矩和电机惯量等,它们与负载转矩、惯量紧密相关。选型时,电机输出转矩要满足机构运动条件,如加速度、重量、运动方式等。虽然运动条件与电机输出功率无直接关系,但一般功率越高,转矩越大。总之,机构重量和运动条件影响电机选型,惯量大或加减速时间短,都需要更大的输出转矩。

伺服电机选型的详细步骤
(1)明确负载机构的运动条件要求,即加/减速的快慢、运动速度、机构的重量、机构的运动方式等。
(2)依据运行条件要求选用合适的负载惯量计算公式,计算出机构的负载惯量。公式
(3)依据负载惯量与电机惯量选出适当的假选定电机规格。
(4)结合初选的电机惯量与负载惯量,计算出加速转矩及减速转矩。
(5)依据负载重量、配置方式、摩擦系数、运行效率计算出负载转矩。
(6)初选电机的最大输出转矩必须大于加速转矩+负载转矩;如果不符合条件,必须选用其他型号计算验证直至符合要求。
(7)依据负载转矩、加速转矩、减速转矩及保持转矩,计算出连续瞬时转矩。
(8)初选电机的额定转矩必须大于连续瞬时转矩,如果不符合条件,必须选用其他型号计算验证直至符合要求。
(9)最终确认伺服电机型号、驱动器及编码器匹配性,并验证安装空间和环境适应性。
伺服电机的主要技术数据
伺服电机选型时还需要注意一些关键技术参数。
1、直流伺服电机的技术数据
A、空载始动电压US0
在额定励磁电压和空载的情况下,使转子在任意位置开始连续转动所需的最小控制电压称为空载始动电压。空载始动电压小,则灵敏度高。空载始动电压以额定控制电压的百分比表示,一般为额定电压的2%~12%,小功率电机US0较大。
B、机电时间常数Tm
在额定励磁电压和空载情况下,加以阶跃的额定控制电压,伺服电机由静止状态加速到空载转速63.2%所需要的时间称为机电时间常数。这个性能指标是衡量电机响应速度的,该值越小,说明响应越快速、灵敏。通常,伺服电机的机电时间常数应小于0.03s。
2、交流伺服电机的技术数据
A、空载始动电压US0
在额定励磁电压和空载情况下,使转子在任意位置开始连续转动所需的最小控制电压,称为空载始动电压US0。US0越小,表示伺服电机的灵敏度越高,一般要求US0不大于额定控制电压的3%~4%;而用于精密仪器仪表中的两相伺服电机,有时要求US0不大于额定控制电压的1%。
B、堵转转矩和堵转电流
定子两相绕组加上额定电压,转速等于0时的输出转矩,称为堵转转矩。这时流过励磁绕组和控制绕组的电流分别称为堵转励磁电流和堵转控制电流。堵转电流通常是电流的最大值,可作为设计电源和放大器的依据。
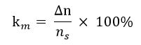
C、机械非线性度km
在额定励磁电压下,任意控制电压时的实际机械特性与线性机械特性在转矩T=Td/2时的转速偏差Δn与空载转速ns之比的百分数,定义为机械特性非线性度,公式为:

一般要求10%≤km≤20%
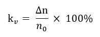
D、调节非线性度kv
在额定励磁电压和空载情况下,当αk=0.7时,实际调节特性与线性调节特性的转速偏差Δn与αk=1时的空载转速n0之比的百分数,定义为调节特性非线性度,公式为

一般要求20%≤kv≤25%
E、堵转特性非线性度kd
在额定励磁电压下,实际堵转特性与线性堵转特性的最大转矩偏差(ΔTdn)max与αk=1时的堵转转矩Tds之比的百分数,定义为堵转特性非线性度,公式为:

一般要求,kd≤±5%
F、机电时间常数Tm
当转子电阻很大时,交流伺服电机的机械特性接近直线。如果把αk=1时的机械特性近似地用一根直线来代替,则这条机械特性相应的机电时间常数与直流伺服电机机电时间常数表达式相同,公式为:

其中,J为转子的转动惯量;
ωs为对称状态下空载时的角速度;
Tds为对称状态下的堵转转矩。
以上为伺服电机选型的详细步骤及需要关注的技术参数。伺服电机选型可直接联系客服为您的应用选择合适的伺服电机。
驱动器维修
产品知识