

全国免费客服电话 135-2433-6395 邮箱:info@monotion.com
手机:135-2433-6395
电话:+86-21-61180596
地址:上海闵行区万芳路333号1号楼7层A座
发布时间:2025-12-12 14:03:03 人气:
电机扭矩和电流的关系是电机扭矩通常和电流有关,特别是当电机处于保持状态的时候。这时候,电流是恒定的,所以扭矩和电流的关系可能比较直接。保持扭矩的公式是扭矩等于电机转矩常数乘以电流。转矩常数通常由电机制造商提供,单位是Nm/A或者类似的。
电机扭矩和电流的关系可以用基本公式表示:T=Kt×I,其中T是扭矩,Kt是转矩常数,I是电流。
不过,步进电机通常有不同的驱动方式,如恒压驱动、恒流驱动等,这些驱动方式可能会影响其实际扭矩表现。此外,步进电机在动态运行(如加速或高速转动)时,扭矩与电流的关系可能发生变化。此时,电感会产生影响,导致电流变化滞后于电压变化,进而影响扭矩。这种情况下,可能需要考虑电机的电气时间常数,或者采用更复杂的模型,例如考虑相电流的波形。
步进电机的线圈具有电感特性,因此在动态运行时,电流无法瞬间达到最大值。尤其在高频运转时,电流可能难以达到设定值,进而导致扭矩降低。此时,需要计算电流的上升时间,或者采用微步驱动的方式来平滑电流变化。用户主要关注静态或保持扭矩的情况,这里可先给出公式T=Kt×I。其中,Kt通常由电机制造商提供。此外,当采用不同的驱动方式,如斩波限流或不同的微步细分时,电流的有效值会发生改变,进而影响扭矩。例如,若驱动器设置为输出电流,那么保持扭矩即为Kt乘以I。
不过,在某些情况下,电机的相电阻和相电感也会对电流大小产生影响。比如在恒压驱动模式下,电流I等于电压V除以相电阻R,此时扭矩与V/R相关。但现代的步进电机驱动器大多为恒流型,所以在实际应用中,更常使用恒流模式下的公式。另外,需要注意单位问题。转矩常数Kt可能有不同的单位,比如Nm/A或oz-in/A,需要确保单位的一致性。例如,如果Kt是Nm/A,电流是安培,那么扭矩就是Nm。
电机扭矩和电流的关系
步进电机通常有两相,比如双极性或单极性,这时候总扭矩可能是两相扭矩的矢量和。不过通常在保持状态下,两相同时通电,扭矩可能是一相扭矩的√2倍,或者在半步模式下有不同的组合。不过这可能比较复杂,用户可能需要的是基本的公式,而更详细的情况需要参考具体电机的数据手册。
电机扭矩和电流的关系总结,基本的公式应该是保持扭矩T等于转矩常数Kt乘以电流I,同时要注意驱动方式和电机的具体参数。动态情况下的扭矩计算更复杂,涉及电感、电压、步进速率等因素,需要更详细的模型或仿真。
1、静态保持扭矩(静态电流下)
当步进电机处于静止状态(保持扭矩状态)时,扭矩与电流的关系为:T=Kt×I
符号说明:T:扭矩(单位:N•m或oz•in)、Kt:电机转矩常数(单位:N•m/A或oz•in/A),由电机制造商提供、I:绕组电流(单位:A)。
注意:该公式适用于恒流驱动(如大多数现代步进电机驱动器),此时电流保持恒定。对于双相步进电机,若两相同时通电,总扭矩可能接近单相的√2倍(取决于通电方式)。
2、动态扭矩(运行时)
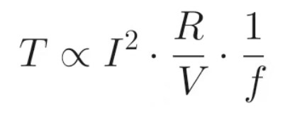
当电机处于运动状态(如加速或高速运转)时,扭矩与电流的关系更复杂,需考虑以下因素:电感效应:绕组的电感会导致电流上升滞后,尤其在高速运转时电流可能无法达到设定值,导致扭矩下降。反电动势(Back-EMF):高速旋转时,反电动势会抵消部分驱动电压,降低有效电流。驱动方式:恒压驱动与恒流驱动的动态特性不同。动态扭矩的近似公式为:
电机扭矩和电流的关系公式

符号说明:R:绕组电阻(单位:Ω)、V:驱动电压(单位:V)、f:步进频率(单位:Hz)。
3、关键参数的影响
转矩常数Kt:由电机设计决定,通常与反电动势常数Ke数值相等(单位不同)。电流:驱动器的输出电流直接影响扭矩,但需注意绕组的温升限制。驱动电压V:更高的电压可加快电流上升速度,改善高速性能。
4、实际应用中的注意事项
1)驱动模式:恒流驱动:直接通过设定电流控制扭矩,公式T=Kt×I适用。恒压驱动:需结合欧姆定律I=V/R计算电流,再代入扭矩公式。
2)微步细分:微步驱动通过调节电流的相位和幅值优化扭矩平滑性,但有效扭矩可能略有降低。
3)热管理:过高的电流会导致绕组发热,需确保不超过电机和驱动器的额定值。
总结
静态扭矩:直接与电流成线性关联,即公式为T=Kt×I;动态扭矩:受电感、频率、电压等多因素影响,需结合具体工况分析。在实际设计中,建议参考电机制造商提供的Kt值和扭矩-频率曲线。如果需要进一步分析特定场景(如高速运动或复杂负载),可结合电机方程和驱动器参数进行详细建模。
驱动器维修
产品知识